The content is published under Creative Commons Attribution 4.0 International license (CC BY 4.0).
Reviewed Article:
Aspects on Realizing House Reconstructions: a Scandinavian Perspective
It has been 30 years, but it is still relevant
In May 1987, the subcommittee on Archaeology of the European Science Foundation (ESF) organised a workshop on “the reconstruction of wooden buildings from the prehistoric and early historic period”. (...) The 1980s was the beginning of a boom in the construction of archaeologically inspired buildings inside and outside archaeological open-air centres. In their proposal to the ESF, they wrote of the problems of constructing at a 1:1 size. Some of the problems addressed are still valid today.
Experiments are an integrated part of archaeological research, a tool used to analyse and understand archaeological phenomena. It is a method as legitimate and as problematic as so many others. The reconstruction of wooden buildings is a main branch of experimental archaeology. As Herschend (1987) has pointed out, house reconstruction is of interest in the development of archaeological theory because interpretation appears, by this approach, as a very conspicuous element of the research process.
Using examples from the Scandinavian Iron Age and Viking Age, problems in realising house reconstructions are discussed here, including the deskwork necessary as part of the preparations. My own experiences in this field include participation in the 1966-1973 excavations of the settlement fort at Eketorp (Öland, Sweden) and the subsequent partial reconstruction of the fort. The second settlement phase, of interest here, is dated from the fifth to early seventh centuries AD (Borg et al. 1976). From 1978–1980 four houses were reconstructed in Eketorp, two of them with me as the 'architect'. In 1986 a fifth house was built. Furthermore, in 1981, together with Mette Iversen, I wrote a critical review of Danish reconstructions (Iversen and Näsman 1981). In 1986–1987 I was consulted in connection with the reconstruction of a Migration period house at Gervide (Gotland, Sweden) (Näsman 1988), and in 1987 I, in collaboration with Jørgen Lund, University of Aarhus, took part in the preparations of a new reconstruction of an Early Iron Age house at Lejre (Sjaelland, Denmark).
In retrospect, nine aspects in realising house reconstructions seem to be of essential importance:
- the evaluation of the archaeological data and the need for a sufficiently large comparative collection;
- the time perspective employed when studying the development of house reconstructions or the necessity of seeing house constructions from an evolutionary perspective of the building tradition;
- the possibilities of using arguments of function, with or without the use of ethnological analogy;
- the evaluation of homology - similarity - between the archaeological data and the ethnological material used for analogising;
- the level of knowledge of the staff involved in the reconstruction, both that of archaeologists and craftsmen;
- the use of reconstructed buildings to produce new insight in to the construction and function of buildings;
- the maintenance of a decaying building and the study of this process;
- the lack of publications of house reconstructions as well as of the use of the houses;
- the economy for planning and building reconstructions as well as for their use in experiments and their maintenance.
A short retrospect
The first Swedish reconstruction of an Iron Age house was conducted in the 1930s at Lojsta (Gotland, Sweden) (See Figure 1; Boethius and Nihlén 1932). At that time only a few prehistoric houses were excavated in Sweden, making it difficult for the excavators and reconstructors to distinguish between the general and unique Lojsta house plan. Based on the limited excavation and on plans of other Scandinavian Iron Age houses, the roof carrying construction was interpreted as three-aisled with posts paired to trestles across the building carrying the roof on purlins (See Figure 2b). Subsequent excavations have confirmed the accuracy of this Iron Age house construction (see for instance Trier 1969).
The limited number of excavated houses in the 1930s, however, caused a misunderstanding of the wall construction. The dry stonewalls, of erratic boulders and limestone slabs, were very low when excavated and consequently rebuilt as a simple foundation for a high steep roof. The covering is thatch (Cladium mariscus - based on a Gotland ethnological analogy). Later excavations revealed that Iron Age houses had real walls, at least 1 m high (for instance Näsman 1976, 120; Myhre 1980, 168). Thus a lower pitch could have been covered with sod.
The last trestle is placed well inside the closed end wall of the Lojsta house and this fact served as the basis for the reconstruction of a hipped roof. Numerous later excavations support this conclusion - that the bulk of Iron Age houses had hipped roofs (See Herschend 1980; Lund and Thomsen 1982; Näsman 1983, 200, Figure 8-9).
The entrance wall was the subject of uncertainty. The excavators suspected it was built to carry a heavy load. In the reconstructed house their solution was a tall wooden gable. The gable construction is based on ethnological analogies from rural buildings in Gotland but also Norwegian stave-churches and preserved timbers from the late Viking-early medieval fortification Bulverket in Gotland and the grave chamber of the Norwegian Viking ship-grave at Gokstad.
At the same time as the Lojsta house was excavated, a number of other houses were investigated in Öland (Stenberger 1933; 1935). The researchers only “reconstructed” these houses on paper (See Figure 3; Stenberger 1933, Figure 128), but in doing so they captured a greater understanding of the Gotland-Öland Migration period house type. This was accomplished by the excavator's great experience in house excavation and his extensive knowledge of Scandinavian Iron Age houses. Stenberger (1933) documented much of this work in his thesis, which examines both archaeological and ethnological materials. There is a strong element of primitivism in Stenberger's reconstruction stemming from contemporary ethnological thinking in Denmark (see below).
Stenberger's views on the construction of the Öland houses found support in the years after the Second World War, when a number of buildings were investigated at Vallhagar (Gotland, Sweden) (Stenberger ed. 1955). A constructional engineer calculated the number of houses and presented reconstruction drawings of six of them (See Figure 4; Lundström 1955). Lundström's work represents a considerable progress, but the material used was still not large enough for a generalised reconstruction, as it seemed to conceal the individual traits of the different houses. Thus, the unsatisfactory construction of the hipped roofs depends on a lack of detailed analysis of the post-pairs at the end walls in a large house sample. A statistical analysis of the contemporary houses excavated in northern Europe was never attempted.
New analyses
The strength of using a large sample of contemporary ground plans is that it can be analysed statistically to find general characteristics. The 53 houses excavated in Eketorp-II provide an example of this approach (See Figures 5 & 6). Using this dataset, Herschend (1980) puts forth a methodology for finding general traits in a large population and to eliminate unique elements that are often difficult to understand. The aim of this approach is to define a 'type' or 'standard' house of a region in a given period, against which the individual house can be studied.
The most important result of the statistical analysis of the Eketorp site was that the houses had a hipped roof and that there must have been a smoke vent at the top of the hip angle. The problems when realising this roof type in a reconstruction will be discussed later in connection with house function and the use of ethnological analogy.
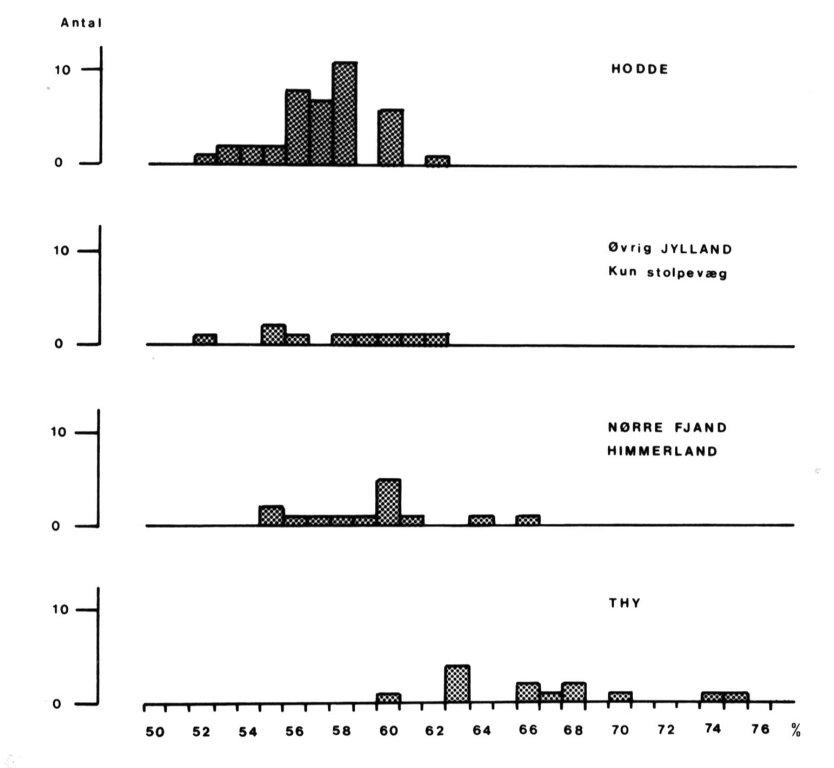
Another example of statistical analyses is offered by S. Hvass (1985) in his studies of more or less contemporary houses in a large region, the Jutish Iron Age houses (circa first century BC to first century AD). His study analysed the relative breadth of the central aisle, which is important for the insight it gives into the carrying capacity of trestles and walls. In Figure 7, the breadth of the central aisles of houses at Hodde and from other sites in Jutland with houses with walls supported by posts are congruent, while the houses at contemporary settlements at Nørre Fjand and sites in Himmerland show a tendency to a broader central aisle. This was also found in the sample from Thy. Most houses of North Jutland had walls of grass sods, while the houses in the larger part of the peninsula had walls with a wooden post construction and probably wattle and daub or some other infill. The wider central aisle in North Jutland is best explained by the weaker sod walls not being able to carry much of the roof load.
Houses over centuries
Most reconstructions discussed so far were based on houses from a limited period of time - a couple of hundred years. It must be emphasised that a reconstruction based on a sample of houses from a short time span is more uncertain than if the house reconstruction can be placed in a continuous series of houses making it possible to study structural changes through time. This was not possible until recently in the Scandinavian area. Most Danish houses excavated earlier than the 1970s are datable to the centuries around the birth of Christ, and Norwegian and Swedish well preserved houses are mostly from the Late Roman or Migration period.
The great progress of Danish settlement archaeology in the past 30 years has given the archaeologists a more or less continuous sequence of house plans from the Neolithic to the Middle Ages (See Figure 8; see Hvass 1988).1 Some periods are weakly represented, especially the sixth to eighth centuries AD,2 but otherwise continuity and change in house construction can be studied in ground plans of sufficient number and quality. So far the statistical analysis of this large material has only started, but nevertheless, the main lines in the development of the three-aisled long-house can be followed from its introduction in the Early Bronze Age (See Figure 8b) until it is replaced by the single-aisled half-timber construction in the later Viking Age and the early Middle Ages (See Figure 8i). The situation in Jutland is therefore on par with the Drenthe province of the Netherlands (Waterbolk 1979, Figure 3; 1980, Figure 2-5).
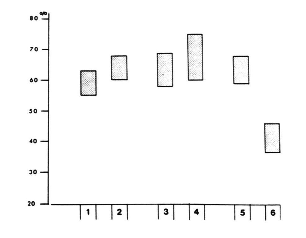
Hvass’s (1982; see Myhre 1980, 178) provides an example of the importance of the longue durée perspective applied to the theory of house reconstruction. His research demonstrated that during the third through eighth centuries AD the central aisle takes up a relatively smaller part of the house breadth, less than 50 percent, than in the preceding centuries of the Iron Age (See Figure 9). The implication for house reconstructions is that the wall construction must have changed to take a heavier load. The consequence of this observation is that data on the details of wall constructions taken from a house sample dating to, for instance, the first century BC - cannot be used uncritically in the reconstruction of a house from the fifth century AD. Another example that will be discussed below is the Danish Viking Trelleborg houses - their construction cannot be understood properly without paying attention to the preceding development of the three-aisled Iron Age house.
Today a number of projects for reconstructing individual houses are planned in Scandinavia and many houses are already built (see surveys by Lund 1988 and Johansson 1988). Unfortunately many of them are seriously hampered by the lack of comparative material and by their chronological and geographical isolation. To present tentative reconstructions of a house that is unique in its region and age in the form of drawings or small-scale models is beneficial, but to build them as expensive full-scale reconstructions is problematic.
Function and construction
The supposed function of a building and its different rooms will of course influence the views on its construction. Scandinavian Iron Age houses often exhibit a regular and close spacing of trestles in the byre, while the dwelling part has varied width of the bay, thus resulting in a large span across the area at the fireplace. These variations in the location of the uprights depend on the function of the room but do not necessarily affect the upper parts of the roof.
Great differences can be seen in Danish Iron Age ground plans of the main dwelling-byre long-houses on the one hand, and the various out-buildings on the other (Hvass 1988). A proper understanding of different house constructions cannot avoid the aspect of function. But so far very little has been done in this field. This is a pity, because it can be suggested to be a promising research area. It is, in any case, obvious that the variation in construction is greater in the out-buildings than in the main houses, and that some innovations seen in the construction of the dwelling houses started in an earlier period in the out-buildings.
The hipped roof
In most Scandinavian Iron Age houses the roofs must have been hipped and there often must have been an opening at the top of the hip angle. The supposed function of this opening is important for it has consequences for the way it will be reconstructed and for what ethnological analogies that canbe chosen. Some believe thatit was an easy way to build a hipped roof by ending the rafters at a horizontal timber and that itssecondary use in ventilation was more accidental (Lund & Thomsen 1982). In most reconstructions, however, the opening is suggestedto be intentionally designed for letting light and fresh air in and smoke and moisture out. So it is constructedas a large opening, often with some kind of movable shutter.
Hipped roofs with a smoke vent are to be found in the ethnological material from the Netherlands to Schleswig and from North Öland to Estonia (for example van der Molen 1979; Articus 1982; 1986; Klein 1924; Söderbäck 1940; Ränk 1962; Habicht 1977). It is unfortunate that archaeologists have not studied these houses carefully - in Eketorp we did not have these functional analogies until two houses were already built.
All houses with hipped roofs in the ethnological sample mentioned above show more or less the same traits; the slope of the hipped roof has the same pitch as the long-sides of the roof or a steeper one, never lower as is sometime seen in reconstructed Iron Age buildings (for instance in the Eketorp-II houses built in 1978). The smoke vent is always much smaller than in most reconstructions and it is often shut by a permanent board with only a small hole in it (See Figure 10). This means that they are not intended to let much light in, only smoke and moist air out. An entirely convincing hipped roof construction is so far not presented by any Scandinavian reconstructions (for another attempt, see Figure 11), and if it is to be found, the ethnological material cannot be dismissed.
The reconstruction of the Lojsta house demonstrates the dangers when working with a small sample size and how misinterpretations caused by sample size can lead to an unfortunate use of ethnological analogies. When working on a reconstruction project, it is impossible not to use ethnological analogies, unconsciously or knowingly. The latter is to be preferred, as great care is needed when using them.
In Lojsta it was concluded that the entrance wall had a tall wooden gable, not a hipped roof as at the other end. Ethnological analogies and archaeological finds were used as the basis for the reconstructed wooden gable. However the result was a complete failure. The archaeological data on house walls were misunderstood. The analogy was based on sparse similarity between the archaeological material, the excavated Lojsta house and the ethnological material used. The strong impact of realised reconstructions on both scholars and laymen is demonstrated by the fact that the Lojsta house is still used to illustrate papers on Iron Age settlements in Gotland (for instance Carlsson 1979, Figure 155), in spite of the criticism raised by Stenberger already 50 years ago!
Viking Age houses of Trelleborg type
In the Viking fort Trelleborg (Sjaelland, Denmark), a number of almost identical houses were excavated, so the analysis of the data gave a firm basis for the reconstruction of a house that was built immediately after the end of the excavation (See Figure 12; Schultz 1942). The main structure of the house proved to be correctly interpreted as evidenced by later excavations in the forts Aggersborg and Fyrkat (Jutland). The construction was in fact based on the traditional three-aisled Iron Age house, but in the large central hall-room all posts were removed and the purlins were instead carried by queen posts placed on tie beams across the hall from wall to wall (See Figure 2c). A row of post-holes outside the wall could not be given a statical function by the reconstructor, the architect C.G. Schultz, and analogising from Norwegian stave-churches he regarded them as uprights in an external gallery. This analogy, based on a simple similarity in ground plan, was criticised heavily, but not until the fort Fyrkat was excavated was the archaeological solution found (Olsen 1968; Olsen & Schmidt 1977). The external timbers had not been vertical but raking against the walls and thus they are now used as buttresses to take the side-wise thrust on the roof-carrying walls (See Figure 13; Schmidt 1981; 1985)3 . The similarity between the Trelleborg houses and the stave-churches - the posts in rows outside the walls - is too small compared to the great differences. A bad homology can only carry a bad analogy.
Late rural houses in Denmark as an analogy
Halvor Zangenberg, the architect, studied in the 1920s Danish rural buildings, primarily the half-timbered construction. He used his knowledge of two north Jutish varieties of the half-timbered house as analogies to the archaeologists' ground plans (Zangenberg 1930). One variety (See Figure 14a) appears three-aisled in plan. It had raking posts bearing a central ridge and another was a single-aisled construction with lean-tos added (See Figure 14b). The reconstructed Iron Age buildings was by Zangenberg given a primitivistic look but the static function of his self-grown timbers is the same as in the late buildings (See Figure 14 c-d).
This ethnological contribution became very influential to later Scandinavian archaeologists and ethnologists, and a great number of Danish Iron Age reconstructions have a roof-bearing construction based more or less on ethnological instances (for example Figure 15 and Figure 16), but many details lack support of convincing analyses of archaeological data. The large material now available suggests that the continuity supposed by Zangenberg and many ethnologists between the three-aisled Iron Age house and the late north Jutish lean-to houses is false - most medieval houses were single- or two-aisled, or had lean-tos added to a single-aisled central construction (See Figure 2d & 8i; Nielsen 1969; Adamsen 1982; Jeppesen 1982; Madsen 1985). Since the supposed direct continuity of building tradition between the first and 19th centuries AD cannot be substantiated, other aspects of reconstructed Iron Age houses must be critically examined (for example braces, sheer-trusses, true trusses). All of these features are likely later introductions into Danish building customs (see the new reconstruction drawings in Figure 17, adjusted to the new opinions in Schmidt 1981 & Näsman 1983, 213ff.).
The development of the Danish single-aisled house started in the middle of the Iron Age in small out-buildings (for example Hvass 1979, Figure 9), it became more firmly established in long-houses in the Viking Age (for example Hvass 1980, Figure 12), and dominated as half-timbered houses from the early Middle Ages onwards. The Trelleborg house-type represents an intermediary experimenting stage (Schmidt 1981). To replace the interior trestle-and-purlin construction, a completely new static concept was introduced, the roof-trusses using a rigid triangle. Probably this new building system was influenced by the building customs of the north-western Continent, where it seems to have started some centuries earlier (Waterbolk 1979; 1980). A longue durée perspective applied to archaeological material gives a better understanding of the dynamic changes in house constructions than the retrospective use of haphazard ethnological analogies.
Roofing
The choice of roofing material is an area with bad archaeological data and, consequently, ethnological analogy is always used here. One conspicuous result of this is that the roofing material chosen is almost always identical with that used in local rural buildings, thatch in Denmark, sods in Norway and on Öland sods on dwellings and thatch on byres and other out-buildings. When planning the reconstruction of a dwelling house in Eketorp-II in 1980, a roof construction was found described in an 18th century publication about Öland (Åhstrand 1768/1979(2), 131f). Birch bark or straw used was originally used as a water-shield beneath the sods but was replaced by sea-weed. Only when the work on the reconstructed roof was almost finished was it realised that the use of sea-weed was a mistake - lots of shells of sea-snails were found fallen down onto the reconstructed house floor, but in the excavated floor we had found only land-snails! The wicker-work and rafter roof beneath the sea-weed proved the following winter to be unsuitable as bed for a cover of sea-weed (in the houses described by Åhstrand it consisted probably of planking) - perhaps these mistakes could have been avoided, if an informed ethnologist had been consulted.
Archaeologists as house reconstructors
As a consequence of these observations, it must be emphasised that the archaeologists planning and realising house reconstructions have to be well educated in many archaeological fields. When we planned the reconstruction of the Eketorp houses we were unaware of this or at least overestimated our own level of information. We should have spent more time on a systematic analysis of the record of Northern European houses to widen our understanding of prehistoric building traditions in time and space, and we should have studied the ethnological material more thoroughly.
Now we know that the archaeologist needs a detailed knowledge of houses from a large part of Northern Europe and from periods spanning the Bronze Age till the Middle Ages. It is, for instance, obvious that Scandinavian house development generally followed the pattern of north to west Europe as evinced by the Drenthe series ground plans quoted above. Some significant differences can be noted, however, and they have to be explained, if the constructions here and there are to be understood. Archaeologists must also have a broad knowledge of the changes over time in social organisation and economy in their research area, and exchange relations must be studied in order to trace possible external influences on domestic building traditions. For example, the introduction in Scandinavia of the notched-log construction (block houses) in the Viking Age and the Early Middle Ages has nothing to do with Western Europe but was probably a renewal of Scandinavian vernacular architecture following the new contacts to the Slavic regions at the Baltic (Hauglid 1960; Näsman 1984, 95f.).
To be good at realising house reconstructions, an archaeologist has to be an experienced house excavator; he/she needs insight into both archaeological and ethnological house literature and great practice in generalising data of house plans.
When participating in a house reconstruction, archaeologists need practical experience in wood-working. In Eketorp it was possible to follow the project drawings closely, but nevertheless unexpected difficulties occurred in the practical erection of the structure. Some of these could have been avoided, had an architect or a constructional engineer been consulted beforehand. If we, for instance, had known the calculations presented by Komber (1986)4 the dimensions of uprights, tie beams and purlins had been easier to calculate, and the pegs used to fix the joints had not been made too weak - now some of them were soon pulled apart.
It is almost impossible to discuss such matters as jointing techniques with a carpenter, if you cannot yourself handle axe and chisel to cut a tenon and mortise. Some feel that old carpenters with a great knowledge in traditional rural wooden technology are preferable when reconstructing prehistoric buildings. But of equal importance is the carpenter ability to be open-minded and interested in the archaeologist's data and the problems of interpretation. Otherwise these individuals can be difficult to work with, because they are convinced that they know how to do things the proper way. Furthermore, some find archaeologists' academic habit of reasoning around for, what for them is a non-existing problem, just ridiculous. You will probably, as I did, find it easier to work with younger craftsmen, if only they know enough about wood-working and have strong wrists.
Using a reconstructed house
The reconstruction of prehistoric and early historic buildings gives important knowledge in its own right. Hypotheses generated by archaeological data and ethnological analogies can be tested. But more knowledge can be gained, if the house is used for experiments.
Living in Iron Age houses does not aim at imitating the life of Iron Age people - that is impossible. On the contrary, the best results can be expected, if an experimental approach is taken, focusing on few and well defined problems. The use of the reconstructed house has to be problem-oriented, aimed at solving a specific problem, not at giving the participants an 'adventure' or 'experience of prehistory'.
The first reconstructed house in Eketorp was used for two weeks in the winter 1980 for a heating experiment. The results are of great value for future reconstructions (Herschend 1982). The house was easily heated. In calm weather all functioned well. But in blowing weather smoke became a great problem (See Figure 18). This was attributed, in part, to a large smoke vent in the hipped roof (see above), and poor carpentry that made the door and its frame as well as the joint between roof and walls draughty. Too much air blew into the house in an uncontrolled way and disturbed the unstable equilibrium between the hot smoky air below the roof and the warm, not so smoky air at breathing level. A poor understanding of aerodynamics around and through the house also led us to overlook the effect of turbulence on the ventilation at the house ends. Our naive conception could have been corrected by an architect or constructional engineer, if given the opportunity to advise us.5
The heating experiment also allowed researchers to discuss whether the long-houses had a ceiling resting on the purlins in parts of the house. A ceiling over the gable rooms could undoubtedly prevent cooled smoke to escape back to the fire at floor level. Such a solution can be supported by ethnological material from Estonia, Latvia and Lithuania, where until recently long-houses with open fireplaces were in use (for example Figure 19; see Klein 1924).
The experimental house in Eketorp had smoke vents at both gables as well as in the roof above the hearth. When used the last solution gave an almost smokeless room but the cost in fuel was approximately 30% more. It is therefore unlikely that this construction was used in Öland, where fuel supply has always been a problem.
Maintenance of reconstructed houses
A reconstructed building needs continuous maintenance. Thatched roofs must be inspected after each storm. Each year from April to May the wattle and daub must be repaired. Quite soon parts of the wicker-work have to be replaced and after some years you have to control the roof-bearing posts and the rotten wood must be replaced. When thehouse has decayed beyond further repair,you can leave itto itself, study its final collapse and indue time excavate the remnants to test the congruence with the remains of the original archaeological house.
In Eketorp, weak points in the reconstructions appeared very soon, within the first year or two, but the resources to document damages, as well as to try to understand what caused them and how to repair them, has been lacking. In 1987 the roof of a house reconstructed in 1980 was renewed but without documentation of the existing decay and without consulting the archaeologist responsible for the reconstruction. This means that the experimental value of this reconstruction is seriously depreciated.
The miss-use of finished reconstructions is apparent throughout Scandinavia. Too often people make repairs with plastic foil, rustproof nails, et cetera. Even when more adequate materials are used, the repairs may be made without any reasonable connection to the original reconstruction conception. When a reconstructed house is treated in this manner, much of it value to experimental archaeology is lost.
Often the unfortunate fate of reconstructions depends on insufficient funds for maintenance and on the fact that reconstructed houses often are looked after by a staff without satisfying qualifications. More scholarly publications on reconstructions are needed to help educate the personnel that look after these houses.
Ultimately, a reconstructed house not only gives information for understanding archaeological evidence related to construction, but when studied and documented in a controlled manner, it can also increase our understanding of their decomposition. So far very little has been published on the deterioration over time of reconstructed prehistoric buildings. Their use as tourist attractions or as museum show-pieces must not prevent this kind of study and not all reconstructed houses should, like the 47 years old Trelleborg reconstruction, be declared a national monument and preserved with the aid of concrete, iron clamps, et cetera.
Thus, there are many hidden costs involved in the study and reconstruction of prehistoric or early historic houses. First, when planning to reconstruct a house you must accordingly accept large costs for the preparatory archaeological study. In addition, the most obvious expenses relate the building materials and architect or constructional engineer fees. Less obvious, however, are the continuous expenses for maintenance over the course of a generation or so.
Conclusions
Reconstructions of archaeological houses shall primarily be based on archaeological data.
Reconstructions must not be based only on one single house, but on a material of contemporary houses sufficiently large to allow statistical analysis to find the general characteristics of the building custom.
It is recommended to reconstruct in full-scale only houses that can be fitted into a continuous series of earlier and later ground plans from the same region houses that can be studied as part of a building tradition.
Ethnological material can only be used as analogies. For example, the use of constructions found in ethnological literature or in standing buildings must be based on qualified and sufficient similarity between the archaeological house and its supposed function and the ethnological material in question.
Archaeologists working with house reconstructions have to be well trained, have to be experienced in settlement excavation, and they need knowledge about ancient wood-technology.
Reconstructions ought not to be made by archaeologists alone, but in collaboration with architects, constructional engineers, craftsmen and ethnologists.
The final test of the quality of a reconstructed building is not that it stands its first year but its use in controlled experiments and its ability to withstand many years of wear by climate and use.
Much more information has to be spread about experiences of house reconstruction, about the use of reconstructed buildings, about the results of controlled experiments and about the decay. The publication must be in scholarly journals with full documentation and references, not as popular papers only.
The economic basis of a reconstruction project must be considered carefully; especially the need of advisory support and the costs for maintenance must not be forgotten.
- 1Since the paper was written in 1987 progress in Danish settlement archaeology has continued. The proceedings of a conference, which concluded a research project, placed the Danish research in a European context, see Fabech, Charlotte & Jytte Ringtved (eds) 1999. Settlement and Landscape. Århus: Jutland Archaeological Society. For improved typologies of Iron Age houses in Jutland, see Hvass, Steen 1988. The status of the Iron Age settlement in Denmark. In: M. Bierma et al. (eds) Arheologie en landschap. [Festschrift to H.T. Waterbolk]. Groningen: 97‑132. – Hansen, Torben Egeberg; Dorthe Kaldal Mikkelsen & Steen Hvass 1991. Landbebyggelserne i 7. århundrede. In: P. Mortensen & B. Rasmussen (eds) Fra stamme til stat i Danmark. 2 høvdingesamfund og kongemagt. Århus (= Jysk arkæologisk selskabs skrifter 22/2): 17‑27. Summary. – Hvass, Steen 1993. The Iron Age and the Viking Period: Settlement. In: S. Hvass & B. Storgaard (eds)Digging into the past. 25 years of archaeology in Denmark.Copenhagen/ Højbjerg 1993: 187-194. – Skov, Hans 1994. Hustyper i vikingetid og tidlig middelalder. Hikuin21, 994: 139-162. Summary p. 179f. For another Danish study of house reconstructions, see Draiby, Bente 1991. Studier i jernalderens husbygning. Rekonstruktion af et langhus fra ældre romersk jernalder. In: Bo Madsen (ed.) Eksperimentel arkæologi. Lejre: Historisk-arkæologisk forsøgscenter: 103-133. Summary.
- 2The house-type in Figure 8g was in 1987 dated only by typology. This dating was wrong as demonstrated by later excavations and 14C-datings. The house type is in Sjælland called the Ragnesminde-type and is now dated to the third to the sixth century AD See Boye, Linda & Elisa Fonnesbech-Sandberg 1999. House typology in the county of Copenhagen, Denmark, during the Late Bronze Age and Iron Age. In: Charlotte Fabech & Jytte Ringtved (eds) Settlement and Landscape. Århus/Højbjerg: Jutland Archaeological Society: 493-496. – Boye, Linda 2008. Bosættelsemønstre på Østsjælland . In: Anne Carlie (ed.), Öresund – barriär eller bro? Stockholm: Makadam/Lund Centrum för Danmarksstudier: 15-32.
- 3For a more recent publication, see Schmidt, Holger 1994. Building customs in Viking Age Denmark. Herning: Poul Kristensens forlag.
- 4Now published as Komber, Jochen 1989. Jernalderens gårdshus. En bygningsteknisk analyse. Stavanger (= Arkeologisk Museum i Stavanger. AmS-Varia 18). Zusammenfassung.
- 5For a more recent experiment, see pp. 157-193 (summary pp. 207-208) in Edblom, Lena 2004. Långhuset i Gene – teori och praktik i rekonstruktion. Umeå: universitetet (= Studia Archaeologica Universitatis Umensis 18). Summary.
Country
- Denmark
- Norway
- Sweden
Bibliography
ADAMSEN, Christian 1982: Bulagergard. Mark og montre 1982: 39-49.
ÅHSTRAND, Petter 1768 (1979 ): Beskrifning öfwer Öland. Uppsala.
ARTICUS, Rudiger 1982: Pferdekopfe als Giebelzier. Helms-Museum. Informationsblatt 53.
- 1986: Die alten Häuser am Kiekeberg. Hamburg-Harburg.
BOETHIUS, Gerda & John Nihlen 1932: Lojsta hall. Fornvännen 27: 342-356. Zusammenfassung.
BORG, Kaj; Ulf NÄSMAN & Erik WEGRAEUS (eds) 1976: Eketorp. Fortification and settlement on Öland/Sweden. The Monument. Stockholm.
CARLSSON, Dan 1979: Kulturlandskapets utveckling på Gotland.Visby. Summary.
HABICHT, Tamara 1977: Rahvapärane arhitektuur. Tallinn. Zusammenfassung.
HAUGLID, Roar 1980. Laftekunst. Laftehusets opprinnelse og eldste historie.Oslo. Summary.
HEDEAGER, Lotte 1987: Empire, frontier and the barbarian hinterland: Rome and northern Europe from AD 1-400. In: Centre and periphery in the Ancient World. Ed. by M. Rowlands; M. Larsen & K. Kristiansen. Cambridge. Pp. 125-140.
HERSCHEND, Frauds 1980: Stolpparet nära gaveln i öländska järnåldershus. Tor 18, 1978-1979: 15-32. Summary.
- 1982; Att bo i den öppna spisen. Fjölnir 1/3, 1962: 66-83.
- 1987: Uppbyggligheter - kring husrekonstruktionens problem. Forntida teknik15: 22-33.
HVASS, Lone 1980: Jernalderen. 1 Landsbyen og samtundet. Copenhagen.
HVASS, Steen 1979: Die völkerwanderungszeitliche Siedlung Vorbasse, Mitteljutland. Acta Archaeologica49, 1978: 61-111.
- 1980:Vorbasse. The Viking-age settlement at Vorbasse, Central Jutland. Acta Archaeologica 50. 1979: 137-172.
- 1982: Huse fra romersk og germansk jernalder i Danmark. In:Vestnordisk byggeskikk gjennom to tusen år . Ed. by B. Myhre; B, Stoklund & P. Gjaerder. Stavanger (= Arkeologisk museum i Stavanger. Skrifter 7). Pp. 130-145. Summary
- 1985: Hodde. Et vestjysk landsbysamfund fra ældre jernalder. Copenhagen. Summary.
- 1988: Jernalderens bebyggelse. In: Fra stamme til stat i Danmark. 1 Jernalderens stammesamfund. Ed. by P. Mortensen & B.M. Rasmussen. Højbjerg/Aarhus (= Jysk arkæologisk selskabs skrifter 22). Pp. 53-92. Summary.
IVERSEN, Mette & Ulf Näsman 1981: Historiske værksteder? Museumsmagasinet 17, 1981: 10-13. Jeppesen, Torben Grøngaard 1982; Aastrup II. Fynske minder 1981: 59-72. Zusammenfassung.
JOHANSSON, Thomas (ed.) 1988: Forntida hus. Forntida teknik 1988/1.
KLEIN, Ernst 1924. Runö. Folklivet i ett gammalsvenskt samhälle. Stockholm/Uppsala.
KOMBER, Jochen 1986: En teknisk-konstruktiv analyse av Jernalderens gårdshus i Norge. Bergen (.magisterthesis in archaeology at the University of Bergen).
LUND, Jørgen 1988; Rekonstruerade forntidshusi Danmark. Forntida teknik 1988/1: 45-53.
LUND, Jørgen & Viggo Thomsen 1982: Toftinghuset. Om rekonstruktionen af et jernalderhus. Kuml1981: 187-205. Summary.
LUNDSTRÖM, Rolf 1955: Some technical aspects of the construction of the Vallhagar buildings. In: Stenberger (ed.), Vallhagar. A Migration period settlement on Gotland/Sweden 1—I I. Copenhagen: 1033-1047.
MADSEN, Per Kristian 1985: Houses from the later part of the 12th century at Fårup near Ribe, south-west Jutland. Journal of Danish archaeology4: 168-178.
VAN DER MOLEN, S.J. 1979: Boerderijen van het Noordererf. Zutphen.
MYHRE, Bjørn 1980: Gårdsanlegget på Ullandhaug 1. Stavanger (= Arkeologisk museum i Stavanger. Skrifter 4). Zusammenfassung.
NÄSMAN, Ulf 1976: The settlement of Eketorp-II. In: Borg et al.1976: 117-150.
- 1983: "Mellan skål och vägg". Om järnåldershusets rekonstruktion. In: Hus, gård och bebyggelse. Ed. by G. Olafsson. (= Föredrag från det XVI nordiska arkeologmötet, Island 1982). Pp. 191-220. Reykjavik.
- 1984: Husforskning i Norden. In: Gård och kulturlandskap under järnåldern. Ed. by L. Liedgren & M. Widgren. Stockholm (= Kulturgeografiskt seminarium 1984/2). Pp. 79-105.
- 1987: Hus, landsby, bebyggelse.In:Danmarks længste udgravning. Copenhagen/Herning. Pp. 69-86. English version 'House, village and settlement' pp. 457-465.
- 1988: Gervide järnåldershus. Forntida teknik 1988/1: 61-64.
NIELSEN, Erik Levin 1969: Pederstræde i Viborg. Kuml 1968 (1969): 23-81. Zusammenfassung.
OLSEN, Olaf 1968: Om at udgrave stolpehuller. Nationalmuseets arbejdsmark 1968: 154-170.
OLSEN, Olaf & Holger Schmidt 1977:Fyrkat. En jysk vikjngeborg 1. Borgen og bebyggelsen. Copenhagen. English version 'Fyrkat. A Viking fortress in Jutland' pp. 205-241.
RÄNK, Gustav 1962: Die Bauernhausformen im baltischen Raum. Würzburg.
SCHMIDT, Holger 1981: Trelleborghuset og Fyrkathuset. Nationalmuseets arbejdsmark 1981: 132-143.
- 1985; Om bygningen at et vikingetidshuspå Fyrkat. Nationalmuseets arbejdsmark 1985: 48-59.
SCHULTZ, C.G. 1942: Vikingehuset på Trelleborg. Fra Nationalmuseets arbejdsmark 1942:17-30.
SÖDERBÄCK, Per 1940: Rågöborna. Stockholm.
STEENSBERG, Axel 1974: Den danske bondegård.Copenhagen.
STENBERGER, Mårten 1933;Öland under äldre järnåldern. En bebyggelsehistorisk undersökning. Stockholm. Zusammenfassung.
- 1935: En järnåldersgård på norra Öland. Fornvännen 30: 1-18. Zusammenfassung.
- (ed.) 1955: Vallhagar. A Migration period settlement on Gotland/Sweden 1—I I. Copenhagen.
TRIER, Bendix 1969: Das Haus im Nordwesten der Germania Libera. Münster.
ZANGENBERG, Halvor 1930: Gamme1 byggeskik. Skivebogen22.
WATERBOLK, H.T. 1979: Siedlungskontinuitåt im Küstengebiet der Nordsee zwischen Rhein und Elbe. Probleme der Küstentorschung im südlichen Nordseegebiet 13, 1979: 1-21.
- 1980: Hoe oud zijn de Drentse dorpen? Westerheem 29, 1980: 190-212.
