The content is published under Creative Commons Attribution 4.0 International license (CC BY 4.0).
Reviewed Article:
An Experimental Study of Lesions Observed in Bog Body Funerary Performances
The analysis of sharp force trauma has usually been reserved for prehistoric osteological case studies. Bog bodies, on the other hand, due to the excellent preservation of the soft tissues, provide a unique example of visible lesions. This type of preservation of prehistoric soft tissue trauma that would otherwise be predominantly absent from osteological remains allows archaeologists to understand better the methods in which these individuals died and potentially the demographic for who performed these acts. Unfortunately, analysis of sharp force trauma in modern forensics is limited, lacking major revision for the last decade. Likewise, archaeological analysis of sharp force trauma is limited to osteological indicators (e.g., marks on bone and cartilage). Therefore, this experimental study performed in 2016 aimed to compare lesions observed on prehistoric bog bodies with those on a human proxy â pig carcases and create an assailant profile through correlating weapon type and volunteer body mass index (BMI). A Multivariate Kruskal-Wallis test (MKW) revealed that the wound areas created by two different weapons under study (a dagger or spear) could not significantly differentiate assailants based on their BMI with 95% confidence level. A binomial logistic regression model was used to predict further the likelihood that either a spear or a dagger caused the observed stab wounds on the individual bog bodies under investigation, given the specific wound lengths and unknown true BMI of the victims. This logistic model was approximately 92% accurate in classifying the weapon type given the exact wound length across different possible BMI values of an assailant (BMI range: 18.0-31.5 kg/m2).
Introduction
Forensic analysis is challenging to perform on prehistoric soft tissue trauma on Iron Age human remains due to its often deteriorated and decayed state. Sharp and blunt force trauma on bone is usually the only surviving remnants of archaeological evidence that gives credence to the cause of death. However, surviving mummified remains, both natural and intentional, may provide insight into sharp force soft tissue trauma and the ability to correlate the weapon and the assailant. Likewise, observation of the common weapon types and their correlating strike patterns will help provide profiling for prehistoric remains. Weapon types used to inflict torture on bog individuals could represent communal identity through such associated pieces.
Modern forensic profiling of stab sequencing through analysis of soft tissue trauma has advanced in the past decade (e.g. Ruder et al., 2011; Venara et al., 2013; Ebner et al., 2014; Di Vella et al., 2017). However, there is still much to be done to correlate this data with prehistoric remains that retain soft tissue, like bog bodies, because most trauma analysis for older remains is often dependent on osteological analysis alone. Additional factors that need to be considered that affect the analysis of soft tissue trauma for prehistoric bog bodies are: incision shrinkage, gapping or sagging of wounds, and deterioration of the soft tissue either before its interment into an anaerobic environment and upon exposure to oxygen after its discovery. Nevertheless, performative overkill observed in many Iron Age bog victims may be elucidated through experimental archaeological studies.
The experimental Masterâs study performed in 2016 aimed to compare lesions observed on prehistoric bog bodies with those on a human proxy, pig carcases, and create an assailant profile through correlating weapon type and volunteer body mass index (BMI). In May 2021, Clement Twumasi joined as the projectâs statistician.
The experimental study observed sharp force soft tissue trauma on pigs, which served as a proxy for human bodies and compared similar wounds observed on prehistoric bog bodies reported from north-western Europe. This experimental study reviews common Iron Age weapon forms, bog body case studies, and provides an experimental analysis of soft tissue trauma.
Iron Age Weaponry
Archaeological evidence for socio-political shifts in the Iron Age manifested in widely distributed spear and sword forms (Collis, 1984; Sharples, 2010, pp.98-109). However, the late Bronze Age to early Iron Age weapon typologies was similar in Britain and continental Europe (Sharples, 2010, p.100). Stead and Lang (2006) provide an extensive review of the various British Iron Age blade morphologies and typologies. Their research showed that blade lengths changed considerably throughout the British Iron Age, despite the continued use of bifacial leaf and straight blade forms.
Jope (1961) defined daggers as blades that measured 245 to 305 mm in length but displayed variable widths between 24 and 52 mm. Stead and Lang (2006, p.5) extended this definition through regional variance (e.g. north and south) and long or short blades. However, short daggers were redefined as blades which measured 130 to 210 mm and long daggers measured 215 to 285 mm in length.
Similar to swords and daggers, there is a wide variance to spear typologies throughout Britain, as highlighted by Inall (2015). The shape of the spear, or javelin, determined their use as thrusting, throwing, or classical form. In addition, there were regional variations to the lengths of the blade and the socket. Classical forms were the standard typology recorded and recognised across Iron Age Europe, also correlating as forms classiques (Brunaux and Rapin, 1988, pp.132-133; Inall, 2015, p.124). The average lengths of blades have a broad range, measuring from 130 mm to 381 mm (Inall, 2015, p.124).
While commonly utilised as a long-distance weapon, spears were also short distance thrusting weapons, and similar to daggers (Ross, 1970, p.58), were used in close combat (Osgood, 1998, p.91; Osgood, Monks and Toms, 2000, p.22; Horn, 2013, p.20). As Horn (2013, p.20) states, spears and swords tend to have the same wear patterns because the ââŠemploy both cutting and stabbing movementsâŠâ Groups, such as the mercenaries Gaesatae or 'spearmen', adopted the name of the weapon they were the most experienced with (Cunliffe, 1997). Therefore, both the profession and presence of weapons used in ceremonies shaped social identities, placing these individuals as a distinctive group within their communities, tribes, and culture.
While much of archaeological evidence or weapon variability from the Iron Age has been sourced from burials and river dredging, further evidence of the weapon effectiveness can be found on human remains. As previously stated, British Iron Age studies of sharp and blunt force trauma are primarily sourced from osteological remains (e.g. Craig, KnĂŒsel and Carr, 2005; Redfern, 2006, 2008; Simms, 2020). Bog bodies are an underutilised knowledge source for sharp force trauma on soft tissue systems, in which the tissue damage would not manifest on the skeletal remains. Nevertheless, there are limitations to bog body studies due to various external and internal factors such as exposure, period before interment (e.g. decomposition), conservation, distortion of the body and (or) wounds, environmental stability and retention of pH values, and the degree of drainage operations in these locations prior to discovery. However, there have been extensive studies that have analysed bog body phenomena and provided forensic analyses of peri- and post-mortem events (e.g. Aldhouse-Green, 2001, 2015; Aufderheide, 2003; Brothwell and Gill-Robinson, 2002; Giles, 2015, 2020).
Bog bodies and evidence of systematic torture peri- and post-mortem
Archaeological interpretation of bog bodies as ritual victims derives from Classical sources. Ethnographic accounts from individuals such as Caesar, Strabo, Poseidonis, Tacitus, and Diodorus Siculus, have provided observatory and second-hand accounts of north-western prehistoric European funerary traditions (Collis, 2003). For example, Straboâs account states, âThey used to strike a human being, whom they had devoted to death, in the back with a sword, and then divine from his death-struggleâ (trans. Pearce, 1998). However, this Classical excerpt, like many others, does not clarify if this event was performed as part of the bog body funerary performance or in connection to other forms of human sacrifice or public execution.
There is substantial evidence that individuals deposited in bogs experienced torture before their placement (e.g. Aldhouse-Green, 2001, 2015; Brothwell and Gill-Robinson, 2002; Kelly, 2006a and 2006b, 2013). However, if we consider the catalogues of Glob (1969) and Turner and Scaife (1995), not all bog individuals were subjected to sharp force trauma or any damage upon death. Nevertheless, those who were a participant of bog death performances were treated differently, which is evident through the grooming of some and, (or), the severe bodily distress inflicted. For example, prior to deposition in a bog, Clonycavan man, excavated in Ireland, was provided with a final meal. His hair was styled with an imported pine resin from France or Northern Spain, suggesting a level of grooming and ritual preparation before he was subjected to a series of sharp-blunt force trauma to the upper torso (Kelly 2013). The trauma inflicted onto the body comprised of three stab wounds to his torso. One stab was located directly to the heart and may have occurred peri- or post-mortem. The other two incisions were located on his arms and resulted from pegging Clonycavan manâs body to the bottom of the bog post-mortem. Three lacerations have also been recorded. Clonycavan manâs nipples have been cut, suggested by Kelly (2006a and 2006b, 2013) as a sign of rejected sovereignty. The other laceration is a 40 cm cut across his abdomen, possibly from purposeful disembowelment peri-mortem (Green and Arnold, 2008; Kelly, 2006a and 2006b, 2013). There are also three sharp and blunt force cuts to the back of the cranium, indicative of an axe wound (Kelly, 2013; Chapman and Gearey, 2019, p.218). Most of the trauma inflicted onto Clonycavan man appears to be performed in threeâs apart from the cut that extends from the right zygomatic arch to the nasal bridge (Green and Arnold, 2008; Kelly, 2006a and b; 2013; Mulhall and Briggs, 2007, p.73). However, because of this woundâs unhealed state, it is possible that it occurred just before or during the bog body funerary performance.
Bog bodies are often interpreted as social outcasts or criminals due to the lack of grave goods associated in situ (Fischer, 1998; Pearson, 1999, pp.70-71; Allan, 2004, pp.83-85). Pearson (1999, p.67) hypothesised that bog bodies were disposed of without the intent of remembering the individual in the collective social memory. Williams (2003, pp.89-112) countered Pearsonâs interpretation and proposed that bog burials exhibited a specific funerary tradition shared throughout north-western Europe (e.g. overkill or tri-sacrifice) (Lacy, 1980). It is possible that individualsâ deposition in the bog transformed them from members of the community to abstract grave goods. Their destruction and, (or), torment, likewise, could have been part of the social performance whereby collective memory was created. However, instead of participating in low-stimulus and low-stress events, bog deaths almost suggest an intense emotional and psychological experience. Thereby, the group breaks free of normal social constraints but maintains some order through systematic torture that has been duplicated on a number of individuals (e.g. the slicing of the nipple peri-mortem in Ireland as referenced by Kelly (2006 a and b)).
Several significant examples of sharp-force trauma observed from Iron Age bog body burials have been reported from Denmark (e.g. Elling woman, Graubelle man, Huldremose woman, Tullund man) (Fischer, 2012; Giles, 2016; Chatman and Gearey, 2019), Germany (e.g. The DĂ€tgen Man, Kayhausen Boy, Yde girl) (Granite and Bauerochse, 2010; Giles, 2016; Chatman and Gearey, 2019), the Netherlands (e.g. Weerdinge couple) (van der Sanden, Menotti and OâSullivan 2013; Giles, 2020), Ireland (e.g. Clonycavan man, Old Croghan man) (Green and Arnold, 2008; Kelly, 2006a and 2006b, 2013; Chatman and Gearey, 20190), and England (e.g. Lindow man I and II, Lindow woman) (Stead, Bourke and Brothwell, 1986; Turner and Scaife, 1995).
Materials and preparations
The study conducted a series of tests to comprehend the process of how dermatologically observed sharp force trauma was inflicted on bog bodies through observed stab wounds. For the experiment, pig carcases were used as proxies to human tissue. The tests measured volunteer produced stab incisions of a spear and dagger and compared this with the assailant profile using their BMI. BMI was used in place of muscle mass measurements because this technology was not accessible at the time of the experiment. The purpose of these tests was to see if any patterns produced in this experiment, in terms of cut dimensions and shape, correlated with those of known bog bodies which exhibit systematic torture. If certain dimensions and cut shapes correlate, then we can theorise that the assailant or victim BMI falls into a probable range (see test 3 for more details).
Unfortunately, there were limitations to the volume of testing that could be procured due to restricted funding. Therefore, only two pigs were procured to test two different weapon types - a dagger and spear (See Figure 1). A spear and dagger were chosen because of their similar size and common fighting styles in close combat, such as thrusting and stabbing motions. Likewise, many of the individuals subjected to torture before their bog placement have evidence of multiple stab wounds. Therefore, a spear and a dagger were considered the best comparison of bifacial short blades with similar close combat fighting styles. The commissioned bifacially sharpened spear measured 174.9 mm x 38.3 mm x 5.9 mm (length x width x breadth) from the proximal tip to the tapering of the spearhead. The commissioned dagger was also bifacially sharpened. The daggerâs dimensions measured 156.0 mm x 26.6 mm x 4.6 mm. The measurement for the bladeâs length corresponded with Stead and Langâs (2006: 5) estimate range for the short dagger measurements in Iron Age Britain.
Pig carcases were used as proxies for human dermal layers to study the sharp force trauma observed on bog (human) individuals. The study performed by Jussila et al. (2004) found that dog skin was the closest to human dermal thickness and elasticity, and tanned hide was second. Although due to the expense of procuring leathered hides, pigs were used for the experiment. However, a study performed by Uzera et al. (2009) found that the tensile difference between dog and pig was minor. Therefore, it is inconsequential which animal was used to replicate human dermal layers in tensile resilience experiments. OâCallaghan et al. (1999), Jones, Nokes and Leadbeater, (1994), and Greenâs (1978) studies of sharp force trauma revealed that human skin provides the highest resistance before punctured. After the initial puncture, muscle proves to be the second-best resistance âafter the breach of skinâ (OâCallaghan et al., 1999, p.174). Bone deflects the blow, and fat provides little resistance.
The pigs were procured three days before the experiment, and the organs needed to be removed prior to the experiment to avoid internal decomposition and bloat. Ballistic gelatine was poured into each pigâs body abdominal cavity to replace the eviscerated organs.
In the same study performed by Jussila et al. (2004), ballistic gel has shown to be more in line with human vivo tissue (i.e. internal organs). Luo et al. (2016) research showed that ballistic gelatine absorbed the force of the external trauma similarly manner to internal organs. Moreover, gelatine can absorb the energy and reflect cavity shrinkage similar to exemplary modern forensic case studies of exit wounds. Therefore, if the Iron Age assailant applied enough force to their puncture during the stab, the force alone could become fatal (See Figure 1)
Methods and statistical analyses
Twelve anatomically human male volunteers were procured as the control group for the experiment. As the prehistoric average height of a human male during this period was estimated to be 1.69 metres (British Museum Board of Trustees, 2011), it was decided that two volunteers would represent each height unit to provide a range (1.73 m to 1.91 m). Contemporary adult males with various heights were used. Two volunteers of same, or similar measurements per height unit, were used to create variation in the weapon strikes. However, where only one volunteer of the necessary height unit was available, this individual participated twice in the experiment.
There was no set order for participating individuals, which allowed for randomisation in both the order and negated a learning curve for technique. Volunteerâs weight was also recorded to analyse body mass index (BMI) in correlation to strike, thereby randomising the test group that was previously limited by the representation of a single variable of height. However, it is recognised that there was some introduction of bias utilising certain individuals twice for the same height, thereby skewing the BMI range. All stab wounds were performed underhand and at a vertical angle, producing a vertical cut. The stabs were to be produced using the volunteerâs dominant hand. The abdomens of many of the bog bodies exhibited stab wounds and thus the abdomen of the pigsâ carcases was targeted in this study as the closest analogue. Both pigsâ abdomens were divided into four quadrants (See Figure 2). A horizontal line was drawn using a sharpie pen; the vertical line was the sewn suture which held both sides of the body cavity together. Both pigs were suspended from the neck at the same height. The hindquarters were also tied and pegged to the ground to minimise swinging.
The first pig was stabbed with a dagger, and the other a spear. Each volunteer was to stab the pig four times, once in each quadrant in no specific order. However, certain individuals performed twice due to the absence of a second volunteer of a similar height (See Figure 3).
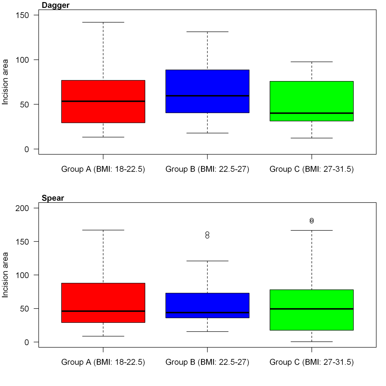
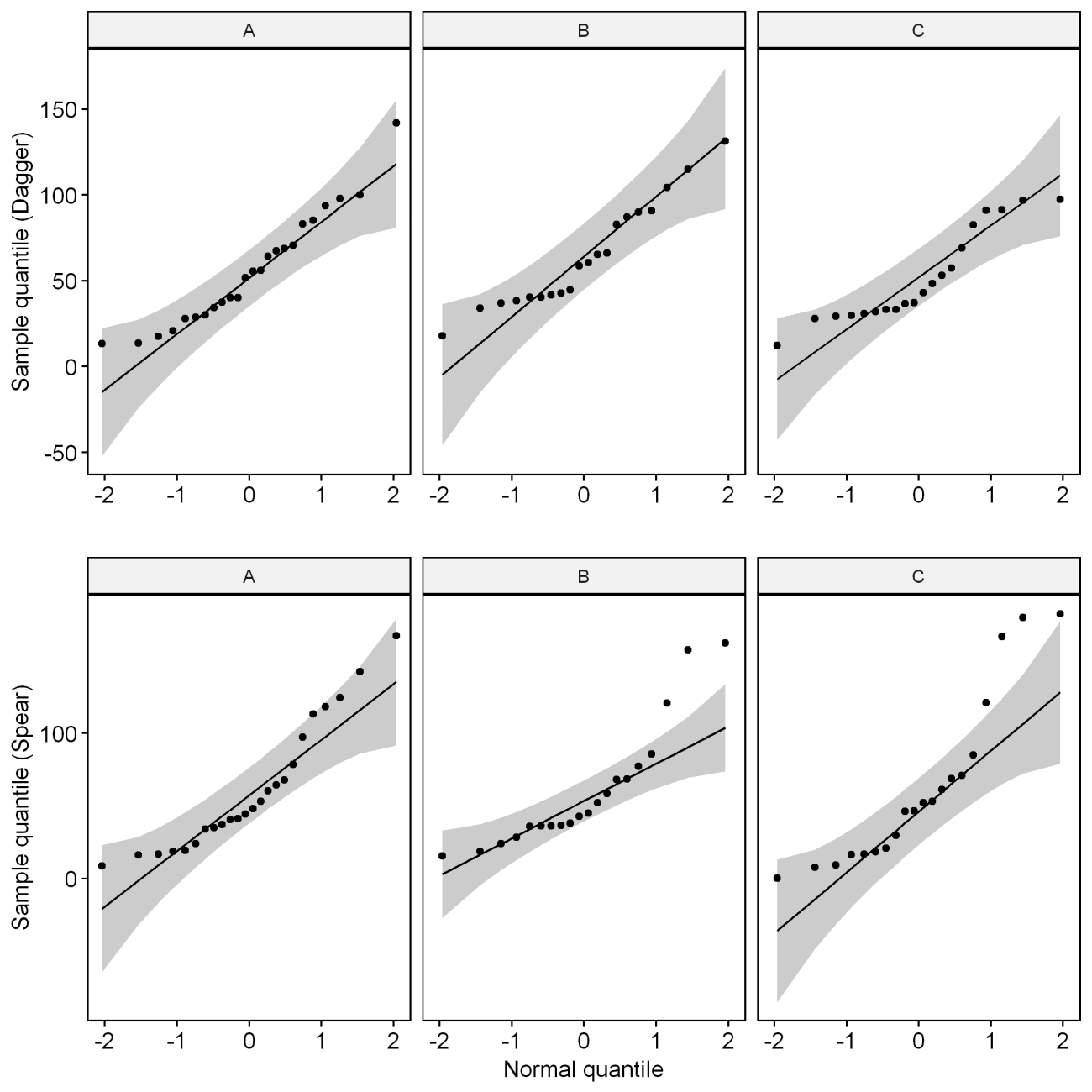
The studyâs analyses were divided into three main sections or tests. The first test addresses if it is possible to recreate an assailant profile through stab dimensions. A non- parametric one-way Multivariate Kruskal-Wallis test (MKW) was used to determine whether there was a significant difference in the incision areas (height/width) created by either a dagger or spear (i.e., two dependent variables) across three main BMI categories (or groups) of assailants, namely 18-22.5 (Group A), 22.5-27 (Group B), and 27-31.5 (Group C). The empirical data on incision areas based on the two weapon types were not multivariate normal (Multivariate Shapiro-Wilk normality test: W=0.959, p-value=0.031) at 5% alpha level for a parametric multivariate analysis of variance test, (MANOVA) and hence, the use of its non- parametric version (MKW). The Quantile-Quantile (Q-Q) plot given by Figure 4 also shows that the empirical data on the observed incision areas created either a dagger or a spear is not univariate normal across the three BMI groups of assailants, respectively.
The second test was to create a characterisation of the wounds produced from the dagger and spear. Finally, the third test addresses if it is possible to identify weapon types to observed bog body soft tissue trauma using a binomial logistic regression model (given by equation 1) based on existing empirical data. The logistic regression model was used to predict the probability that either a spear or a dagger caused observed stab wounds on bog bodies under investigation, given the specific wound lengths, while the true BMI (continuous form) of the assailant is unknown (BMI range: 18.0 - 31.5 kg/m2). The dependent variable ( Y ) of the logistic model is the âweapon typeâ with binary outcome: âa daggerâ (0) and âa spearâ (1). The exact form of the logistic regression model with log-odds coefficients (bi, for i = 0,1, 2 ) is given as:

where X1 is the wound length and X2 is the BMI of assailant are the predictors of the model; and p = P(Y = 1) is the probability of a weapon being a spear ( Y = 1) relative to it being a dagger ( Y = 0 ). The regression intercept is given by b0 ; whereas b1 and b2 are the log-odds regression coefficients corresponding to the predictors X1 and X2, respectively. Thus, the exact probability of a weapon being a spear relative to a dagger is given by (after making the subject in equation 1 gives equation 2):

The log-odds regression coefficients (bi, i = 0,1, 2) were estimated using maximum likelihood estimation in R statistical software. The odds ratio corresponding to the predictors are estimated using exp(b^i) for i = 1,2. Prior to the regression modelling, the empirical data (based on the volunteers) was randomly divided in two sets: training data (80% of the data) and validation data (remaining 20%). The model was fitted using the training data, and then cross-validated based on the validation data. The modelâs performance was assessed based on the area under the ROC curve (AUC), the Gini coefficient, the Kolmogorov- Smirnov statistic (KS) and the percentage of correct classification (accuracy based on a confusion matrix). All statistical analyses were carried out in R statistical software version 3.6.3 (R Core Team, 2019). The fitted model was further used for predicting the weapon type (either a dagger or a spear) for wounds on Lindow man II and Huldremose woman.
There are limitations of the study and pre-existing bias through factors such as: diversity of stature heights within the volunteer group, lack of experience handling weapons, degree of diagnosis of the environment (Lynnerup 2015), the mummification process of bog bodies, and distortion of prehistoric wounds.
Results
Test 1 â Recreation of an Assailant Profile
The differences in the produced incision area (height/width) created by a dagger or a spear (two dependent variables) were collectively tested across the three BMI groups using a Multivariate Kruskal-Wallis test (MKW). The MKW test was insignificant (MKW: U=2.638, df=4, p-value=0.620). Therefore, the BMI groups tested have no significant effect on the incision areas created by the two weapons; thus, the wound areas are not able to differentiate assailants based on BMI. Figure 5 is a boxplot showing the distribution incision areas by the two weapons across the BMI groups. More testing with a larger control group may be required for future analysis.
Test 2 â Characterisation of the Wounds Produced by Volunteers
A characterisation of the wounds was produced for a visual and metric comparison of weapon types. Literature that records bog body soft tissue trauma often limits measurements to only length of laceration. Perhaps the lack of a width measurement in the majority of studies is due in part to distortion of the wounds and potential shrinkage that has occurred. This projectâs characterisation of wounds produced by a dagger and spear was developed through measurement of the length and width. Depth was not measured because it would be impossible to measure this within bog bodies due to distortion and fragility of the remains. The dimensions were then calculated into averages for future references. For stab marks produced by a dagger, the area ranges from 12.36 mm to 141.88 mm, but the average area created was 57.77 mm, with a median of . This differs from the stab marks produced by the spear, whereby the area ranges from 0.42 mm to 182 mm, and the average area created was 61 mm, with a median of 46 mm. Nevertheless, the averages between the two weapons are close, and while a dagger has a tighter range than the spear, it may be difficult to distinguish these types of stabs.
Overall, incision shrinkage was more prevalent in spear wounds than those resulting from the dagger (~15%). This outcome comes as no surprise as the knife/dagger stab wounds tended to gap horizontally as skin stress increased, resulting in the integrity of skin tensile strength was compromised. In contrast, the spear incisions tended to droop vertically (See Figure 6). As a result, knife/dagger wounds bore a closer resemblance and closer retention of measurement of the primary weapon dimensions. However, visual comparison of the stab wounds produced by the volunteers and those present on bog victims is inconclusive due to distortion.
Test 3 â Experimental Data in Relation to Bog Bodiesâ Soft Tissue Trauma
The third test compared the experimental group data with the controlled group â incisions observed on bog bodies to see if there was a connection using measurements provided by Brothwell et al. (1990), Turner and Scaife (1995), Stead, Bourke and Brothwell (1986), and Joy (2009) for Lindow man II and Huldremose woman. The logistic regression model was used to predict whether a spear or a dagger caused the wound, given the wound length. This test uses the victimâs potential BMI, as Test 1 proved that it was not possible to differentiate assailants based on BMI through wound patterns and thus insignificant. However, we do not know the original BMIâs for bog victims and applied a range of BMI values between 18 to 31.5 kg/m2. The predictive power of the fitted logistic model was very high since all the accuracy measures were between 0.8 and 1, with a classification accuracy of 92% (See Table 1 and Figure 7).
| Accuracy measures | Values |
| Gini Coefficient | 0.847 |
| KS statistic | 0.917 |
| Classification accuracy | 0.920 |
Table 1: Accuracy measures of the fitted logistic model.
The estimated regression coefficients are given by Table 2, where the wound length was the only significant determinant of the weapon type (p-value<0.05). From Table 2, higher wound lengths on a bog body or any individual will suggest a greater chance of the weapon used being a spear than a dagger by approximately 0.638 units; however, BMI is not a key determinant in distinguishing between the two weapon types.
| Variables | Estimate (bi) | Std Error | Z-value | P-value |
| Intercept | -17.016 | 4.1002 | -4.150 | 0.000*** |
| Wound length (X1) | 0.638 | 0.1318 | 4.850 | 0.000*** |
| BMI (X2) | -0.115 | 0.0917 | -1.256 | 0.209 |
Table 2: Estimated logistic regression coefficients. ***p<0.001; **p<0.01; *p<0.05
Hence, the fitted logistic regression equation (based on equation 1) is given as:

such that, the equation for estimating the probability of a weapon being a spear relative to a dagger is given by:

for any given value of the wound length (X1) and assailantâs BMI (X2).
Lindow Manâs weapon prediction
Lindow man is a prime example of overkill with his neck garrotted and slashed, multiple stab wounds, and blunt force trauma to the head (Stead et al., 1986; Turner and Scaife, 1995; Joy, 2009; Chapman and Geary, 2019, p.219) (See Figure 8). The weapons used to inflict trauma on Lindow man II were an axe and a âsharp edge bladeâ (Chapman and Gearey 2019, p.219). The axe was the most probable for the combined sharp and blunt force trauma to the occipital region of the head (Chapman and Gearey, 2019, p.219). The dagger was possibly utilised to inflict the stab wound to the right side of the neck. The lesion located on the chest may have been produced by either a spear or dagger. However, the nature of the lesion suggests the use of a thrusting spear because the energy generated deflected when the weapon hit the clavicle.
According to the predictive model, it is certain (with a probability of 1) that Lindow manâs wound with a length of 60 mm was caused by a spear irrespective of his BMI value (See Figure 9). Also, Figure 8 revealed that the wound length of 35 mm was at least 80% more likely to be caused by a spear than a dagger, irrespective of the Lindow manâs BMI. However, the wound length of 30 mm on Lindow man is only likely to be caused by a spear (with a probability slightly above 50%) if his BMI is at most 18.5 kg/m2. However, if his BMI> 18.5 kg/m2 , the likelihood that the wound of size 30 mm was caused by a dagger increases. Hence, the larger Lindow manâs potential BMI, the more probable that the wound that measured 30 mm in length was caused by a dagger. However, it appears that the trauma produced on the individual was spear oriented. These predictions, of course, may change when new weapon types are introduced, as this test is isolated to only a spear and dagger comparison.
Huldremose Womanâs weapon prediction
Huldremose woman suffered lesions to her leg, although some damage resulted from the excavation spade, not post-mortem overkill (See Figure 10). Her arm was severed, but this is also possibly the result of spade damage instead of peri-mortem dismemberment. However, Fischer (2012, p.117) believes this final blow resulted in her death through blood loss. Nevertheless, the lesions reported from her leg correlated with both knife and spear dimensions, which suggest either were used to inflict the damage. As stated previously, because Huldremoseâs lesions are restricted to length, only this measurement was used for all tests performed.
Predictions were made with the fitted logistic model for Huldremose woman, using the same conditions and volunteer data (See Figure 11). From Figure 11, it is very clear that the probability of a spear to inflict a wound of size below 30 mm on Huldremose woman is very low, and thus, suggests a dagger attack for wound length below the aforementioned threshold. At wound length of 31 mm, as compared to 30 mm, the probability of spear attack was above 50% until a BMI value greater than 24 kg/mm2 (the median of the BMI range considered). Consequently, most of the incisions performed on Huldremose woman suggests that they were caused by a knife; only the lesion that measures either 30 mm or 31 mm in length is probable a spear depending on how small Huldremose womanâs BMI was. However, as this incision comes from her leg, the correlation may be coincidental, and the actual cut may result from spade damage.
Discussion
Not all known bog bodies exhibit sharp and blunt force trauma, but for those who do, were often subjected to âoverkillâ (e.g. Aldhouse-Green, 2001; Brothwell, 1986; Giles, 2009; Lacy 1980). Aldhouse-Green, (2001) has suggested that individuals who exhibited âoverkillâ were subjected to communal participation or representation thereof through systematic torture. Therefore, it follows that the weapons with which the community identifies, would be used to perform such ceremonies. As a result, reconstruction of the wound created from specified weapons utilised could represent communal identity and the collective practice of bog funerary performances.
Further research is required to confirm the validity of the relationship between weapon, assailant, and wound dimensions. The binomial logistic regression can effectively classify between two weapon types, given some predictors of interest. To extend the binary logistic to classify more than two weapons, a multinomial logistic regression model and other predictive models (including machine learning algorithms) can also be employed in future studies. Based on the predictions of the weapon type and the lesions observed from Lindow Man II and Huldremose woman, it can be confirmed that there were differing incisions made by the two weapon types â spear and dagger. A larger wound size (>30 mm) potentially suggests a spear attack, and a small wound of length <30 mm likely indicates a dagger attack. Likewise, strike dimensions produced by the volunteer control group showed the closest range of wound dimensions to the BMI mean (18 to 22.5).
With increased bog body discoveries in recent years and thus a larger number of available case studies, research into alternative prehistoric funerary practices has the potential to be broadened in archaeological and forensic methodologies. Expanding sharp force trauma studies would be extremely beneficial in prehistoric contexts because often modern forensic methodologies do not apply as they mainly focus on terminal ballistics (Venara et al., 2003).
Conclusions
Studies involving prehistoric stab wounds on surviving dermal layers and soft tissue are limited to non-existent. The lack of formative study of bog body trauma had made sense in the past when there were minimal case studies. However, over the past century, increased drainage operations, agrarian intensification, and peat cutting operations have revealed abundant research material.
Forensic sciences have been vital in delineating the cause of death and trauma performed peri- and post-mortem in modern times. However, to take the next steps in prehistoric forensic studies, we must perform similar experiments to create both the assailant and victim profiles, including weapon types. Perhaps in understanding not only the individual in which violent bog deaths were enacted upon but also those who participated, archaeologists can begin to reconstruct bog burial funerary performances.
Mathematical predictive models can also help classify different weapon types based on relevant information and existing empirical data of bog bodies. The current study can be expanded by comparing different classes of predictive models such as the traditional logistic regression models and machine learning algorithms in distinguishing between weapon types based on empirical data. These comparisons will help identify the best predictive model, robust enough to solve current forensic and classification problems of bog bodies.
Keywords
Bibliography
Aldhouse- Green, M., 2001. Dying for the gods: human sacrifice in Iron Age & Roman Europe. Bristol: Tempus Pub Limited.
Aldhouse- Green, M., 2015. Bog Bodies Uncovered. London: Thames and Hudson.
Aufderheide, A.C., 2003. The scientific study of mummies. London: Cambridge University Press.
Allan, T., 2004. The archaeology of the afterlife: deciphering the past from tombs, graves and mummies. London: Duncan Baird Publishers.
British Board of Trustees, 2011. The People of Iron Age Britain. [Online] < https://www.ancient.eu/article/248/the-people-of-iron-age-britain/ > [Accessed November 2016].
Brothwell, D., 1986. The Bogman and the Archaeology of People. British. London: British Museum Publications.
Brothwell, D., Holden, T., Liversage, D., Gottleib, B., Bennike, P. and Boesen, J., 1990.
Establishing a minimum damage procedure for the gut sampling of intact human bodies: the case of the Huldremose Woman. Antiquity, 64(245. pp.830-835.
Brothwell, D. and Gill-Robinson, H., 2002. Taphonomic and forensic aspects of bog bodies. In Haglund, W. and Sorg, M. (eds), Advances in Forensic Taphonomy. CRC Press, Boca Raton. pp. 119-32.
Brunaux, J.. and Rapin, A., 1988. Gournay. II, Boucliers et lances, dépÎts et trophées. Arles: Errance.
Chapman, H. and Gearey, B., 2019. Towards an archaeology of pain? Assessing the evidence from later prehistoric bog bodies. Oxford Journal of Archaeology, 38(2). Hoboken: John Wiley and Sons. pp. 214-277.
Collis, J., 1984. The European Iron Age. London: Batsford.
Collis, J., 2003. The Celts: origins, myths & inventions. Bristol: Tempus Pub Limited.
Craig, R., KnĂŒsel, C.J. and Carr, G., 2005. Fragmentation, mutilation and dismemberment: an interpretation of human remains on Iron Age sites. In: M. Parker-Pearsonand J. Thorpe (eds). Warfare, violence and slavery in prehistory, 1374. Oxford: BAR Publishing. pp.165-180.
Cunliffe, B., 1997. The Ancient Celts. Oxford: Oxford University Press.
Di Vella, G., Grattagliano, I., Curti, S., Catanesi, R., Sullivan, M.K. and Tattoli, L., 2017. Multiple stab wounds: understanding the manner of death through the psychological autopsy. Clin Ter, 168(4). Pp.233-239.
Ebner, L., Flach, P.M., Schumann, K., Gascho, D., Ruder, T., Christe, A., Thali, M. and Ampanozi, G., 2014. The tip of the tip of the knife: Stab sequence reconstruction using postmortem CT in a homicide case. Journal of Forensic Radiology and Imaging, 2(4). pp.205-209.
Fischer, C., 1998. Bog bodies of Denmark and North Western Europe. In Cockburn, A., Cockburn, E., and T. Reyman (eds). Mummies, Disease and Ancient Cultures, 2nd Edition. London: Cambridge University Press. pp.237-262.
Fischer, C. 2012. Tollund Man. Gift to the gods. Stroud: The History Press
Giles, M., 2009. Iron Age bog bodies of north-western Europe. Representing the dead. Archaeological Dialogues, 16(1). London: Cambridge University Press. pp.75-101.
Giles, M., 2015. Performing pain, performing beauty: dealing with difficult death in the Iron Age. Cambridge Archaeological Journal, 25(3). London: Cambridge University Press, pp.539-550.
Giles, M., 2016. Afterword: strands of evidence in later prehistory. Internet Archaeology, 42. Micklegate: Council for British Archaeology.
Giles, M., 2020. Bog bodies: Face to face with the past. Manchester: Manchester University Press.
Glob, P.V., 1969. The bog people; Iron Age man preserved. London: Faber and Faber Limited.
Granite, G. and Bauerochse, A., 2010. X-Ray Fluorescent Spectroscopy and its Application to the Analysis of Kayhausen Boy. Der Junge von Kayhausen und die Haut aus dem Bareler Moor: Neueste Untersuchungsergebnisse. Oldenburg: Museumsjournal Natur und Mensch. pp.95-102.
Green, M.A., 1978. Stab wound dynamicsâa recording technique for use in medico-legal investigations. Journal of the Forensic Science Society, 18(3). Colorado Springs: American Academy of Forensic Sciences. pp.161-163.
Green, J. and Arnold, B., 2008. Ancient Celts: Archaeology Unlocks the Secrets of the Celtic Past. Washington D.C.: National Geographic.
Horn, C., 2013. Weapons, fighters and combat: spears and swords in Early Bronze Age Scandinavia. Danish Journal of Archaeology, 2(1). pp.20-44.
Inall, Y.L., 2015. In search of the spear people: spearheads in context in Iron Age eastern Yorkshire and beyond. Doctoral Dissertation. University of Hull.
Jones, S., Nokes, L. and Leadbeatter, S., 1994. The mechanics of stab wounding. Forensic Science International Journal, 67(1). Amsterdam: Elsevier. pp.59-63.
Jope, E.M., 1961. Daggers of the Early Iron Age in Britain. Proceedings of the Prehistoric Society, 27. London: Cambridge University Press. pp.307-343.
Joy, J., 2009. Reinvigorating object biography: reproducing the drama of object lives. World archaeology, 41(4). pp.540-556.
Jussila, J., LeppÀniemi, A., Paronen, M. and KulomÀki, E., 2004. Ballistic skin simulant. Forensic Science International Journal, 150(1). Amsterdam: Elsevier. pp.63-71.
Kelly, E.P., 2006a. Kingship and sacrifice: Iron Age bog bodies and Boundaries. Archaeology Ireland. Dublin: Wordwell Limited.
Kelly, E.P., 2006b. Secrets of the bog bodies: the enigma of the Iron Age explained. Archaeology Ireland, 20(1). Dublin: Wordwell Limited. pp.26-30
Kelly, E.P., 2013. An Archaeological Interpretation of Irish Iron Age Bog Bodies. The Archaeology of Violence: Interdisciplinary Approaches, 2. Albany: Suny Press. pp.232-240.
Lacy, A.F., 1980. Some additional Celtic and Germanic traces of the tri-functional sacrifice. The Journal of American Folklore, 93(369). Champaign: University of Illinois Press. pp.337-341.
Luo, S., Xu, C., Chen, A. and Zhang, X., 2016. Experimental investigation of the response of gelatine behind the soft body armor. Forensic Science International Journal, 266. Amsterdam: Elsevier. pp.8-13.
Lynnerup, N., 2015. Bog Bodies. The anatomical record, 298(6). pp.1007-1012.
Mulhall, I. and Briggs, E.K., 2007. Presenting a past society to a present day audience. Bog bodies in Iron Age Ireland. Museum Ireland, 17. pp.71-81.
OâCallaghan, P.T., Jones, M.D., James, D.S., Leadbeatter, S., Holt, C.A. and Nokes, L.D.M., 1999. Dynamics of stab wounds: force required for penetration of various cadaveric human tissues. Forensic Science International Journal, 104(2). Amsterdam: Elsevier. pp.173-178.
Osgood, R., 1998. Warfare in the Late Bronze Age of North Europe (Vol. 694). Oxford: British Archaeological Reports Limited.
Osgood, R. Monks, S., and J. Toms, 2000. Bronze age warfare. Stroud: Sutton Publishing.
Pearce, M., 1998. Celtic Sacrifice: Pre-Christian Ritual and Religion. Taunton: Capall Bann Publishing.
Pearson, M.P.,1999. The archaeology of death and burial. Stroud: Sutton Publishing.
R Core Team. 2019. R: A Language and Environment for Statistical Computing. R Foundation for Statistical Computing, Vienna, Austria. http://www.R-project.org/.
Redfern, R., 2006. A bioarchaeological analysis of violence in Iron Age females: a perspective from Dorset, England (fourth century BC to the first century AD). In Davis, O., Sharples, N., and Waddington, K. (eds). Changing Perspectives on the First Millennium BC: Proceedings of the Iron Age Research Student Seminar. Oxford: Oxbow Books. pp.139-160.
Redfern, R., 2008. New evidence for Iron Age secondary burial practice and bone modification from Gussage All Saints and Maiden Castle (Dorset, England). Oxford Journal of Archaeology, 27(3). Hoboken: John Wiley and Sons.pp.281-301.
Ross, A., 1970. Everyday life of the pagan Celts. London: Batsford.
Ruder, T.D., Ketterer, T., Preiss, U., Bolliger, M., Ross, S., Gotsmy, W.F., Ampanozi, G., Germerott, T., Thali, M.J. and Hatch, G.M., 2011. Suicidal knife wound to the heart: challenges in reconstructing wound channels with post mortem CT and CT-angiography. Legal medicine, 13(2). pp.91-94.
Sharples, N., 2010. Social relations in later prehistory: Wessex in the first millennium BC. Oxford: Oxford University Press.
Simms, A., 2020. How Useful Are Osteoarchaeological Methods in Supporting Current Interpretations for Violent Death? A Review of the Data from Iron Age Burial Contexts in England. SHARE: Studies in History, Archaeology, Religion And Conservation, 4(1).
Stead, I. and Lang, J., 2006. British Iron Age swords and scabbards. London: British Museum Press.
Stead, I., Bourke, J. and Brothwell, D., 1986. Lindow Man: the body in the bog. London: British Museum Press.
Turner, R. and Scaife, R., 1995. Bog bodies: new discoveries and new perspectives. London: British Museum Publications.
Uzera, G., Hoa, A., Clarkb, R.A. and Chianga, F.P., 2009. Mechanical Properties of Pig Skin. Proceedings of the SEM Annual Conference, Alburqurque, New Mexico. Bethal: Society for Experimental Mechanics Inc. pp.1-6.
van der Sanden, W., Menotti, F. and O'Sullivan, A., 2013. Bog bodies: underwater burials, sacrifices and executions. The Oxford Handbook of Wetland Archaeology. Oxford: Oxford University Press. pp.401-416.
Venara, A., Jousset, N., Guillaume, A., Arnaud, J.P., Rouge-Maillart, C., 2013. Abdominal Stab Wounds: Self- Inflicted Wounds Versus Assault Wounds. Journal of Forensic and Legal Medicine, 20. Amsterdam: Elsevier. pp.270-273.
Williams, M., 2003. Tales from the dead. In Williams, H. (ed). Archaeologies of Remembrance: Death and Memory in Past Societies. New York City: Springer Publishing Company. pp.89-112.
